PersamaanGerakLurus
- Dapatkan link
- X
- Aplikasi Lainnya
Analisis Vektor untuk Gerak Lurus
BLog ini dibuat sebagai tugas proyek pelajaran fisika kelas XI Semester Ganjil .
Guru Fisika : Indri Dayana,M.Si.
Dikelas X kalian pasti sudah mempelajari gerak lurus, dikelas XI kalian juga masih mempelajari gerak lurus jika kalian masih bingung bagaimana semoga dengan kalian membaca post ini dapat membantu kalian untuk mengerti .Selamat Membaca ^^
Persamaan Gerak lurus
adalah persamaan yang menyatakan hubungan antara jarak atau kedudukan benda, kecepatan,percepatan dan waktu.
1.Posisi dan Arah Partikel Berdasarkan Vektor
Vektor posisi dilambangkan dengan r , arah vektor posisi dilambangkan x , y, z dalam sistem kordinat.Posisi partikel pada suatu bidang akan dinyatakan dengan vektor-vektor satuan, yaitu vektor satuan pada sumbu X, ditulis i dan pada sumbu Y, ditulis j dan pada sumbu Z, ditulis k.

posisi suatu titik dapat ditulis ' r = Xi + Yj + Zk '
A. Perpidahan
∆r = r2 – r1
= (x2 – x1)i + (y2 – y1)j
Contoh : Posisi sebuah partikel mula mula adalah ,kemudian berpindah ke posisi,dengan r1 = 8i - 2j dan r2 = 2i + 6j. Tentukan vektor perpindahannya!
Dik : r1 = 8i - 2j Jawab : ∆r = r2 – r1
r2 = 2i + 6j = ( 2– 8 )i + ( 6 – (–2) )j
= –6i + 8j
Guru Fisika : Indri Dayana,M.Si.
Dikelas X kalian pasti sudah mempelajari gerak lurus, dikelas XI kalian juga masih mempelajari gerak lurus jika kalian masih bingung bagaimana semoga dengan kalian membaca post ini dapat membantu kalian untuk mengerti .Selamat Membaca ^^
Persamaan Gerak lurus
adalah persamaan yang menyatakan hubungan antara jarak atau kedudukan benda, kecepatan,percepatan dan waktu.
1.Posisi dan Arah Partikel Berdasarkan Vektor
Vektor posisi dilambangkan dengan r , arah vektor posisi dilambangkan x , y, z dalam sistem kordinat.Posisi partikel pada suatu bidang akan dinyatakan dengan vektor-vektor satuan, yaitu vektor satuan pada sumbu X, ditulis i dan pada sumbu Y, ditulis j dan pada sumbu Z, ditulis k.
posisi suatu titik dapat ditulis ' r = Xi + Yj + Zk '
Contoh : Diketahui dari gambar tersebut bahwa titik X = 4 dan titik Y = 3 maka vektor posisi A akan ditulis sebagai berikut : 
rA = xAi + yAj
= ( 4i + 3j ) cm
A. Perpidahan
adalah perubahan posisi suatu titik materi pada waktu tertentu. Misal pada saat q1 vektor posisi awal titik materi adalah r1 dan pada saat p2 vektor posisi akhir titik materi adalah r2. Perpindahan, yang dilambangkan dengan ∆r dituliskan dengan persamaan berikut.
∆r = r2 – r1
= (x2 – x1)i + (y2 – y1)j
Contoh : Posisi sebuah partikel mula mula adalah ,kemudian berpindah ke posisi,dengan r1 = 8i - 2j dan r2 = 2i + 6j. Tentukan vektor perpindahannya!
Dik : r1 = 8i - 2j Jawab : ∆r = r2 – r1
r2 = 2i + 6j = ( 2– 8 )i + ( 6 – (–2) )j
= –6i + 8j
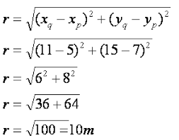
B.Besar Vektor Posisi
Rumus :
pada gerak lurus beraturan ditetapkan bahwa kecepatan V = Konstan
Rumus :

Ket : v = kecepatan (m/s)
t = waktu tempuh (s)
s = Jarak (m)
Contoh :
Dik : v = 5 m/s
t = 3
DIt : S ......?
Penyelesaian : s = v . ts = 5 x 3 = 15 m
Gerak Lurus Berubah Beraturan
1. Mobil pada mulanya diam. Setelah 10 sekon, kelajuan mobil bertambah menjadi 20 m/s. Tentukan percepatan mobil!
Pembahasan
Tanpa rumus (gunakan logika) :
Kelajuan mobil berubah menjadi 20 m/s setelah 10 sekon. Ini berarti kelajuan mobil bertambah 2 m/s setiap 1 sekon. Jadi percepatan mobil adalah 2 m/s per 1 sekon = 2 m/s per sekon = 2 m/s
Diketahui :
Kelajuan awal (vo) = 0 (mobil diam)
Selang waktu (t) = 10 sekon
Kelajuan akhir (vt) = 20 m/s
Ditanya : percepatan mobil (a)
Jawab :
Karena diketahui vo, vt, t dan ditanya a maka gunakan rumus glbb vt = vo + a t
vt = vo + a t
20 = 0 + (a)(10)
20 = 10 a
a = 20 / 10
a = 2 m/s2
- Dapatkan link
- X
- Aplikasi Lainnya

Komentar
Posting Komentar